Optionshare 選擇幫

 找回密碼
 立即註冊
查看: 2768|回復: 0
打印 上一主題 下一主題

兼具趨勢(Trend)盤和震盪(Cycle)盤的神人交易系統

[複製鏈接]
跳轉到指定樓層
樓主
發表於 2019-1-11 13:00:16 | 只看該作者 回帖獎勵 |倒序瀏覽 |閱讀模式

馬上註冊,結交更多好友,享用更多功能,讓你輕鬆玩轉社區。

您需要 登錄 才可以下載或查看,沒有帳號?立即註冊

x
本帖最後由 EntrepreneurOPs 於 2019-1-14 10:21 編輯



Chia Ling Liu 好高深啊



自營家 高深不一定有用, 有用的東西通常是簡單的; 只是我做交易系統喜歡有理論根據,有數學推導的科學化根據更好, 我對自己空想的交易邏輯沒有信心, 師法前人或站在大師的肩膀上再去開發, 會讓我更相信這個系統, 尤其當系統訊號連續不準的時候, 更需要有這種自信才能堅持跟隨訊號下去. 所以結論是: 我愛用少人知道且有理論根據的系統, 至於有沒有比較好? 或是能不能賺比較多? 則是不一定的!


先看程式實作的成果, 著實花了我不少時間, 重點是回測效果出乎預期非常好, 但是記住一件事 --- 買賣訊號給得再好, 能不能賺錢還是在執行的個人喔!














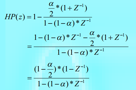
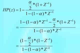
接下來我用概念性設計(Conceptual Design)的方式來分享, 否則一堆像下面這樣的數學式, 看這篇文的人應該立刻跑掉吧? 哈哈


1. 技術分析就是模塑市場(modeling the market)
2. 市場理論上如墨基爾教授(Burton Gordon Malkiel)所言: 醉漢隨機亂走(Random Walk)
3. 醉漢隨機亂問題仍是著眼在方向(direction)
4. 因此煙流擴散(Smoke Plume Diffusion)理論可解釋市場狀況
5. 調整醉漢隨機亂走問題: 只看是否要改向(reverse direction)走, 並且不去在意上一步的方向, 使隨機變數(random variable)由方向(direction)改成以動量(momentum)為思考
6. 如此調整過後(改成動量思考)的醉漢問題便可以和凱利(John Larry Kelly, Jr.)或夏農(Claude Elwood Shannon)一樣改用類似資訊理論(i. e. electric wave on a telegraph wire), 抑或彎流(Meandering River)理論來解釋市場狀況
7. 根據以上兩個理論便具有了趨勢(Trend)和震盪(Cycle)兩者來模塑市場行為
8. 要分離出Trend或Cycle時, 不要像以往用減法(subtracted), 改用過濾(filtering)法 => AllPass(全市場) filtered by HighPassFilter(Cycle or Trend)
9. 技術分析的大敵乃移動平均(Moving Averages)的延遲(Lag)效應
10. EMA具有Trend mode特性, 可以averaging over 2 samples以改進衰減, 得到1個新的improved EMA, 把它當成過濾器
11. 將AllPass用HighPassFilter(improved EMA trend)移除(remove)Trend, 然後做平方(square to improve sharpness)來得到Cycle Mode
12. 最後 AllPass(全市場) filtered by HighPassFilter(Cycle Mode) = Trend Mode
13. 做成交易系統需要先行訊號, 因此增加2天的動量(a 2 day momentum) 到Trend Mode來得到先行的2個K線(get a 2 bar lead)
14. 建立1個 low lag smoothing filter來移除HighPassFilter(Cycle Mode)中的high frequency content
回復

使用道具 舉報

您需要登錄後才可以回帖 登錄 | 立即註冊

本版積分規則

站長信箱|Archiver|手機版|小黑屋|Optionshare 選擇幫.  

GMT+8, 2025-11-10 22:00 , Processed in 0.028095 second(s), 23 queries .

Powered by Discuz! X3.2

© 2001-2013 Comsenz Inc.

快速回復 返回頂部 返回列表